剩磁温度系数是表征永磁材料剩磁(Br)随温度变化的关键参数,直接影响电机在不同工况下的性能稳定性,测试需遵循恒温控制、定点测量、数据计算的核心流程,具体步骤如下:
一、测试准备
1、样品要求:
选取待测试磁钢样品,确保外观无裂纹、镀层完好,尺寸需适配磁性能测试仪的夹具;同批次测试样品需保持一致性,数量建议 3~5 件以减少误差。

2、设备准备:
使用带控温装置的永磁材料测量系统(如MATS-2010H永磁测量装置),配套恒温箱或加热 / 制冷模块,温度控制精度需达到 ±1℃;提前校准磁性能测试仪和测温传感器。
3、环境预处理:
将样品置于室温(23±2℃)环境中静置 2 小时以上,消除温度梯度对初始测试的影响。
二、测试步骤
1、室温初始剩磁测量
将样品放入测试仪夹具,在室温T0(通常为 23℃)下进行充磁,确保样品达到饱和磁化状态;稳定后测量并记录该温度下的剩磁值Br0。
2、目标温度调节与保温
根据测试需求设定目标温度区间,常见测试温度点为-40℃、-20℃、0℃、60℃、100℃、150℃(可覆盖电机常规工作温度);将样品放入控温装置,升温 / 降温至设定温度T1,并保温 30 分钟以上,确保样品内部温度均匀。
3、高温 / 低温剩磁测量
在不改变样品磁化状态的前提下,将样品快速转移至测试仪(或直接在控温装置内测试),测量并记录T1温度下的剩磁值Br1。
4、多温度点循环测试
依次调节至其他目标温度点,重复 “保温 - 测量” 步骤,记录每个温度点对应的剩磁值Brn;建议每个温度点重复测量 3 次,取平均值以提高数据准确性。
5、室温回检
所有温度点测试完成后,将样品放回室温环境,保温至温度恢复至T0,再次测量剩磁值Br0′,验证样品磁化状态是否稳定,若B′r0与初始值偏差超过 ±1%,则需重新测试。
三、数据计算
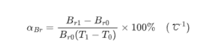
剩磁温度系数αBr的计算公式为:

计算时,需分别得出每个温度区间的温度系数,最终取各区间系数的平均值,作为该批次磁钢的剩磁温度系数。
四、测试注意事项
测试过程中避免样品受到剧烈振动或冲击,防止磁化状态改变。
对于钕铁硼、铁氧体等不同材质磁钢,需根据其耐热特性选择合适的最高测试温度,避免超过居里温度导致退磁。
记录测试环境的湿度,高湿度环境可能影响磁钢镀层和测试精度。
